Home / Expert Answers / Calculus / y-x-12x-4-7-a-dy-dx-b-d-2-y-dx-2-y-x-x-3-e-2x-dy-dx-pv-nrt-where-n-r-an-pa827

(Solved): y(x)=12x^(4) 7 a) (dy)/(dx)= b) (d^(2)y)/(dx^(2)) : y(x)=x^(3)e^(-2x) (dy)/(dx)= PV=nRT where n,R an ...



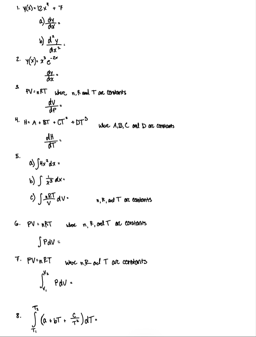
y(x)=12x^(4) 7

a)

(dy)/(dx)=

b)

(d^(2)y)/(dx^(2))

:

y(x)=x^(3)e^(-2x)

(dy)/(dx)=

PV=nRT

where

n,R

and

T

ar constants

(dv)/(dp)=

H=A BT CT^(2) DT^(3),

wher

A,B,C

and

D

are constants

(dH)/(dT)=

a)

\int 4x^(2)dx=

b)

\int (1)/(x^(3))dx=

c)

\int (nRT)/(V)dV=,n,R

, and

T

ar contants 6.

PV=nRT

whel

n,R

, acel

T

ar eostants

\int PdV=

PV=nRT

whe

n,R

ad

T

are ceretants

\int_(V_(1))^(V_(2)) PdV=

\int_(T_(1))^(T_(2)) (a bT (c)/(T^(2)))dT=


We have an Answer from Expert

View Expert Answer

Expert Answer


We have an Answer from Expert

Buy This Answer $5

Place Order

We Provide Services Across The Globe