Home
Expert Answers
Place Order
How It Works
About Us
Contact Us
Sign In / Sign Up
Sign In
Sign Up
Home
/
Expert Answers
/
Advanced Math
/ 3-find-r-t-for-the-given-condition-r-39-t-ei-e-39-j-r-0-4i-4-calculate-fxxyz-if-f-x-y-z-pa931
(Solved): 3. Find r(t) for the given condition r' (t) = ei + e'j, r(0) = 4i 4. Calculate fxxyz if f(x, y, z) ...
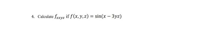
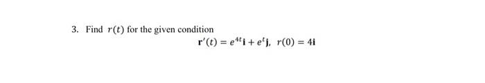
3. Find r(t) for the given condition r' (t) = ei + e'j, r(0) = 4i 4. Calculate fxxyz if f(x, y, z) = sin(x - 3yz)
We have an Answer from Expert
View Expert Answer
Expert Answer
We have an Answer from Expert
Buy This Answer $5
Place Order
We Provide Services Across The Globe
Order Now
Go To Answered Questions