Home / Expert Answers / Calculus / a-patient-receives-the-same-dose-of-medication-at-regular-time-intervals-the-graph-shows-the-quan-pa808

(Solved): A patient receives the same dose of medication at regular time intervals. The graph shows the quan ...



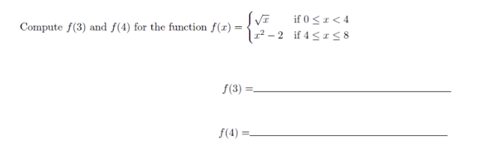
A patient receives the same dose of medication at regular time intervals. The graph shows the quantity \( Q(t) \) of the drugCompute \( f(3) \) and \( f(4) \) for the function \( f(x)=\left\{\begin{array}{ll}\sqrt{x} & \text { if } 0 \leq x<4 \\ x^{2

A patient receives the same dose of medication at regular time intervals. The graph shows the quantity \( Q(t) \) of the drug in the bloodstream, in mg, as a function of time, \( t \), in hours. (a) What is the domain and range for the function? Use interval notation. Compute \( f(3) \) and \( f(4) \) for the function \( f(x)=\left\{\begin{array}{ll}\sqrt{x} & \text { if } 0 \leq x<4 \\ x^{2}-2 & \text { if } 4 \leq x \leq 8\end{array}\right. \) \( f( \) \[ f(4)= \]


We have an Answer from Expert

View Expert Answer

Expert Answer


We have an Answer from Expert

Buy This Answer $5

Place Order

We Provide Services Across The Globe