Home / Expert Answers / Advanced Math / problem-equations-from-the-following-list-are-of-the-standard-kinds-studied-in-this-course-for-ea-pa452

(Solved): Problem: Equations from the following list are of the standard kinds studied in this course. For ea ...



Problem:
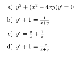
Equations from the following list are of the standard kinds studied in this course. For each equation find as many as possible classesthat the equation belongs to or could be converted by elementary algebraic transformations into an equation belonging to. Substantiate your findings.
a) y2 + (x2 ? 4xy)y0 = 0
b) y0 + 1 =

a) y² + (x² - 4xy)y = 0
b) y + 1 =
c) y = 2 +
d) y + 1 =
H
y
-I
x+y

 


1
x+
y
c) y0 =
y
x
+
1
x
d) y0 + 1 = x?+xy

a) y² + (x² - 4xy)y' = 0 b) y' + 1 = c) y' = 2 + d) y' + 1 = H y -I x+y


We have an Answer from Expert

View Expert Answer

Expert Answer


SOLUTION a). Given differential equation is, . Now, , Dividing by . That is the given differential equation is of the form, . So given
We have an Answer from Expert

Buy This Answer $5

Place Order

We Provide Services Across The Globe